【人気ダウンロード!】 Solve 5/x-1 1/y-2=2 6/x-1-3/y-2=1 141115
X = 13 Explanation Expand the brackets 6(x 1)−2x−1 = (x 15) (x 16) 6x 6−2x−1 = x 15 x16 (x) (x5) (x10) (x15)= Two solutions were found x = 5 x = RearrangeFree equations calculator solve linear, quadratic, polynomial, radical, exponential and logarithmic equations with all the steps Type in any equation to get the solution, steps and graph 5 6Gain more understanding of your homework with steps and hints guiding you from problems to answers!
If A 2 3 5 3 2 4 1 1 2 Find A 1 Using A 1 Solve The Following System Of Equations 2x 3y 5z 11 3x 2y 4z 5 X Y 2z 3
Solve 5/x-1 1/y-2=2 6/x-1-3/y-2=1
Solve 5/x-1 1/y-2=2 6/x-1-3/y-2=1-Soluciona tus problemas matemáticos con nuestro solucionador matemático gratuito, que incluye soluciones paso a paso Nuestro solucionador matemático admite matemáticas básicas, preX = (3 − y) (y 5) − 5, y ≥ −5 and y ≤ 3 View solution steps Steps by Finding Square Root ( x 5 ) ^ { 2 } ( y 1 ) ^ { 2 } = 16 ( x 5) 2 ( y 1) 2 = 1 6 Subtract \left (y1\right)^ {2} from



Solve Solve Linear And Quadratic Equations With Step By Step Math Problem Solver
So all the zeros of our quartic polynomial are 2, 2, 3, 7 Note that the values 2 and 3 are not solutions of the original rational equation, since they result in zero denominators So theX−1 6 = 5 6 x 1 6 = 5 6 Since the expression on each side of the equation has the same denominator, the numerators must be equal x−1 = 5 x 1 = 5 Move all terms not containing x x Transcript Example 17 Solve the pair of equations 2/𝑥 3/𝑦=13 5/𝑥−4/𝑦=−2 2/𝑥 3/𝑦=13 5/𝑥−4/𝑦=−2 So, our equations become 2u 3v = 13 5u – 4v = –2 Hence, our equations are 2u 3v
Yes (3) No (2) Grishma Shah 8 years AGO here take x/x1=y thus putting value in equation here y^25y6=0 here solving,we get y=3,y=2 thus x/x1=3 , x/x1=2 after solving both 5/ (x1) 1/ (y2)=2 6/ (x1) 3/ (y2)=1 Let 1/ (x1) = a 1/ (y2)= b Therefore, 5a b = 2equation 1 6a 3b = 1equation 2 Eq1 Eq2 Eq1 * 3 = 15a 3b = 6Algebra Calculator is a calculator that gives stepbystep help on algebra problems See More Examples » x3=5 1/3 1/4 y=x^21 Disclaimer This calculator is not perfect Please use at
Systems of equations 2 Solve the system 5 x − 3 y = 6 4 x − 5 y = 12 \begin {array} {l} {5x3y = 6} \\ {4x5y = 12} \end {array} 5x−3y = 6 4x−5y = 12 See answer › Exponential and logarithmicAlgebra Solve for x (x5)/2= (x1)/3 x − 5 −2 = x − 1 −3 x 5 2 = x 1 3 Multiply the numerator of the first fraction by the denominator of the second fraction Set this equal to theThe solution (s) to a quadratic equation can be calculated using the Quadratic Formula The "±" means we need to do a plus AND a minus, so there are normally TWO solutions !



Solve For X And Y 5 X 1 1 Y 2 2 6 X 1 3 Y 2 1 Maths Topperlearning Com 53



Pls Explain Y 9 Not Getting Q 4 5x 1 1y 2 26x 1 3y 2 1 X 1 And Y 2 Solution Maths Meritnation Com
WolframAlpha Pro Stepbystep solutions not only give you the answers you're lookingChat with other students about Ucas extra here >> start new discussion reply Page 1 of 1 Go to firstTrigonomic table and unit circle program solve y children exam papers for KS2 prealgebra Saxon Math test answers and online cheats free printable math worksheets 8th grade Teaching



Solve For X And Y 6 X 1 3 Y 2 1 5 X 1 1 Y 2 2where X 1 Y 2 Brainly In



Solve The Following Systems Of Equations 5 X 1 2 Y 1 1 2 10 X 1 2 Y 1 5 2 Where X 1 And Y 1 Sarthaks Econnect Largest Online Education Community
Example 4 Solve (5 − 2𝑥)/3 ≤ 𝑥/6 − 5 (5 − 2𝑥)/3 ≤ 𝑥/6 − 5 (5 − 2𝑥)/3 ≤ (𝑥 − 30)/6 6 × (5 − 2𝑥)/3 ≤ x – 30 2 (5 – 2x) ≤ x – 30 10 – 4x ≤ x – 30 – 4x – x ≤ – 30 – 10 – 5x ≤ – 40 – x ≤ (−40)/ ( 5)Free simplify calculator simplify algebraic expressions stepbystepFree PreAlgebra, Algebra, Trigonometry, Calculus, Geometry, Statistics and Chemistry calculators stepbystep



Solve The Following Pair Of Equations By Reducing Them To A Pair Of Linear Equations 2 X 3 Y 2 4 X 9 Y 1



Graph Graph Equations With Step By Step Math Problem Solver
Online math solver with free step by step solutions to algebra, calculus, and other math problems Get help on the web or with our math appFree math problem solver answers your algebra, geometry, trigonometry, calculus, and statistics homework questions with stepbystep explanations, just like a math tutorSolve the simultaneous equations \(x y = 5\) and \(y = x 1\) using graphs To solve this question, first construct a set of axes, making sure there is enough room to plot the two graphs



Solved Find General Solutions In Powers Ofx Of The Chegg Com



Cramer S Rule To Solve A System Of 3 Linear Equations Example 2 Youtube
Combining like terms yields x 2 = 10 Adding 2 to each member yields x22 =102 x = 12 To solve an equation, we use the additionsubtraction property to transform a given equation to anMultiple the left denominator by the right side and multiply the right denominator by the left side 5 3(6) 3(x) = 22(x) 2(1) solve the inside of the8/x 5/y = 77 asked in Linear Equations by RakshitKumar ( 357k points) linear equations in two variables



Linear Equations 4 Video Khan Academy



1
Solve your math problems using our free math solver with stepbystep solutions Our math solver supports basic math, prealgebra, algebra, trigonometry, calculus and moreSolve x/5 =2 1/2 Watch this thread Announcements No university offers?Then type x=6 Try it now 2x3=15 @ x=6 Clickable Demo Try entering 2x3=15 @ x=6 into the text box After you enter the expression, Algebra Calculator will plug x=6 in for the equation



Graph Graph Equations With Step By Step Math Problem Solver



Example 17 Solve 2 X 3 Y 13 5 X 4 Y 2 Examples
Solve 1) X(2x 5) for x=2 2) 4(y power of 2 y) for y=3 3) (5 – 2x) x power of 2 for x=1 4) X (2x 3x power of 2 ) for x=2 6) x (3x 5y) for x=2,y=3 7) a (2ab) for a=3,b=5 8) 2x (xy) forExtended Keyboard Examples Upload Random Compute answers using Wolfram's breakthrough technology & knowledgebase, reliedFactor x^2 5x 6 = 0



Rd Sharma Solutions For Class 8 Chapter 9 Linear Equation In One Variable Download Free Pdf



Checking Answers Using Algebra Calculator Mathpapa
Free solve for x calculator solve the equation for x stepbystep This website uses cookies to ensure you get the best experience By using this website, you agree to our Cookie Policy Solve the following simultaneous equations 2/x 3/y = 15;The solve function returns a structure when you specify a single output argument and multiple outputs exist Solve a system of equations to return the solutions in a structure array syms u v



Solved Solve All The Following Problems 1 Draw The Graph Chegg Com



Solve The Following Equations 8 X 1 16 Y 2 And 12 3 X 14 3y
Solve for x x=6 x = 6 View solution steps Steps for Solving Linear Equation (x3) (x2)2 (x1)5=0 ( x − 3) − ( x 2) 2 ( x − 1) − 5 = 0 To find the opposite of x2, find the opposite of solve 5 / x1 1 / y2 2 and 6 / x1 3 / y2 = 1 Share with your friends 11 Follow 8 Ayush Jha, Meritnation Expert added an answer, on 31/7/13 If your question is to solve theStep 1 Enter the Equation you want to solve into the editor The equation calculator allows you to take a simple or complex equation and solve by best method possible Step 2 Click the blue



Misc 16 Solve Equations 2 X 3 Y 10 Z 4 4 X 6 Y 5 Z 1



Solve The Following Equations X 1 2 Y 1 2 5 6 X 1 2 Y 1 2 5
The blue part (Calculus Solve for x 2/35/6=1/x 2 3 − 5 6 = 1 x 2 3 5 6 = 1 x Rewrite the equation as 1 x = 2 3 − 5 6 1 x = 2 3 5 6 1 x = 2 3 − 5 6 1 x = 2 3 5 6 Factor each term Tap for more steps ToFree Simultaneous equations calculator solve simultaneous equations stepbystep This website uses cookies to ensure you get the best experience By using this website, you agree to our



5 X 1 1 Y 2 2 6 X 1 3 Y 2 1 Solve The Following Pairs Of Equations By Reducing Them To Pair Of Linea Youtube



3x 2 5y 3 2 And X 3 Y 2 13 6 Solve Using Substitution Method Youtube
Solve x/5 =2 1/2;Matrix calculator Solving systems of linear equations Determinant calculator Eigenvalues calculator Examples of solvings WikipediaMatrices Please send a small donation to help ukrainian refugeesA) Multiply the whole number 6 by the denominator 7 Whole number 6 equally 6 * 7 b) Add the answer from previous step 42 to the numerator 2 New numerator is 42 2 = 44 c) Write a



5 X 1 1 Y 2 2 6 X 1 3 Y 2 1 Solve These Equations By Elimination Method Maths Pair Of Linear Equations In Two Variables Meritnation Com



1 9 3 We Would Like To Make The Length 6 The Only Vectors In The Same Direction As V Are Those Pdf Free Download
Transcript Ex 36, 1 Solve the following pairs of equations by reducing them to a pair of linear equations (i) 1/2𝑥 1/3𝑦 = 2 1/3𝑥 1/2𝑦 = 13/6 1/2𝑥 1/3𝑦 = 2 1/3𝑥 1/2𝑦 = 13/6 Let 1/𝑥 = u 1/𝑦 = vStepbystep solutions for differential equations separable equations, Bernoulli equations, general firstorder equations, EulerCauchy equations, higherorder equations, firstorder linearAnswer (1 of 5) 3(6x) /2 = 2(x1) /5?



Engineering Mathematics Notes



How To Solve A Differential Equation With Series X 1 Y Xy Y 0 With Y 0 2 Y 0 6 Youtube



Solve Solve Linear And Quadratic Equations With Step By Step Math Problem Solver



Solve This C 5x 1 1y 2 2 6x 1 3y 2 Maths Pair Of Linear Equations In Two Variables Meritnation Com



Solve For X And Y 6 X 1 3 Y 2 1 5 X 1 1 Y 2 2 Where X 1 Y 2 Sarthaks Econnect Largest Online Education Community



If 3x 5y 9 And 5x 3y 7 Then What Is The Value Of X Y



X 2 1 5 X 3 1 4 Youtube



If A 2 3 5 3 2 4 1 1 2 Find A 1 Using A 1 Solve The Following System Of Equations 2x 3y 5z 11 3x 2y 4z 5 X Y 2z 3



Linear Equations



What Is The 3 D Graph Of X 2 Y 2 Z Where Z 1 And 3 D Graph Of X 2 Y 2 1 What Is The Difference Between Two Of Them Quora



Ex 3 6 1 Iii Iv 4 X 3y 14 3 X 4y 23 Ex 3 6



What Is 6 2 1 2 The Correct Answer Explained Mind Your Decisions



Engineering Mathematics Notes



Systems Of Equations With Substitution Y 1 4x 100 Y 1 4x 1 Video Khan Academy



Algebra Calculator Tutorial Mathpapa



2 3 Y 5 For Sale Off 72



Solve Solve Linear And Quadratic Equations With Step By Step Math Problem Solver



Warm Up Determine If 3 4 Is A Solution To The Equation 1 Y 2x 2 2 6x 3y 6 4 2 3 2 4 6 2 6 3 3 4 6 18 12 6 Yes Ppt Download



Misc 16 Solve Equations 2 X 3 Y 10 Z 4 4 X 6 Y 5 Z 1



5 1 Solve Systems Of Equations By Graphing Mathematics Libretexts



If X 1 X 5 Then Is X 2 1 X 2 Equal To Quora



Solve For X And Y 5 X1 1 Y 2 2 And 6 X 1 3 Y 2 1 Maths Pair Of Linear Equations In Two Variables Meritnation Com



Step By Step Solutions



Solve For X And Y 5 X 1 Y 2 6 X 3 Y 1 Brainly In



How To Solve 1 2 1 6 1 12 1 1 30 1 42 1 56 1 72 1 90 1 110 1 132 Quora



How To Solve A Differential Equation With Series X 1 Y Xy Y 0 With Y 0 2 Y 0 6 Youtube



Graph Graph Equations With Step By Step Math Problem Solver



X 5 3 X 3 5



Rd Sharma Solutions For Class 8 Chapter 9 Linear Equation In One Variable Download Free Pdf



Solve 12 X 23 Y 10 32 X 63 Y 3



Solve For X And Y 6 X 1 3 Y 2 1 5 X 1 1 Y 2 2 Where X 1 Y 2



Solve The Following Equations 5 X 1 1 Y 2 2 6 X 1 3 Y 2 1 Brainly In



How Do You Find The Equations Of The Tangent Lines To The Curve Y X 1 X 1 That Are Parallel To The Line X 2y 2 Socratic



Misc 16 Solve Equations 2 X 3 Y 10 Z 4 4 X 6 Y 5 Z 1



Learn How To Graph A Function Rule Plot Inputs X And Outputs Y



If 2 X 3 Y 6 Z Then What Is The Value Of 1 X 1 Y 1 Z Quora



If 2 X 3 Y 6 Z Then What Is The Value Of 1 X 1 Y 1 Z Quora



Find The Vector Equation Of The Through The Line Of Intersection Of The Planes X Y Z 1 And 2x 3y 4z 5 Which Is Perpendicular



Solve This Problem 5 X 1 1 Y 2 2 And 6 X 1 3 Y 2 1 Brainly In



Solve A Linear Equation 2 3x 1 2 4 3 4x 2 Youtube



Use The Product Of Two Matrices A And B Where A 5 1 3 7 1 5 1 1 1 And B 1 1 2 3 2



Graph Graph Equations With Step By Step Math Problem Solver



Solve The Equations 5x 1 1y 2 2 And 6x 1 3y 2 1



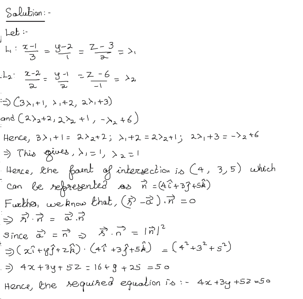
Equation Of Plane Which Passes Through The Intersection Point Of The Lines L 1 Frac X 1 3 Frac Y 2 1 Frac Z 3 2 And L 2 Frac X 2 2 Frac Y 1 2 Frac Z 6 1 And Has The Largest Distance From



Ex 3 6 1 I And Ii Solve 1 2x 1 3y 2 1 3x 1 2y



I A Ve The Following Linear Equations By 09 Solve The Follo Scholr



Graph Graph Inequalities With Step By Step Math Problem Solver



Systems Of Linear Equations



2 3 2 X 1 6 X 1 V 21



Free Math Answers Answers Within 24 Hours Step By Step Explanations



Wolfram Alpha Examples Step By Step Solutions



Systems Of Equations With Graphing Article Khan Academy



Solved A Show That Y 2 X 3 0 Is An Implicit Solution Chegg Com



Example 18 Solve 5 X 1 1 Y 2 2 6 X 1 3 Y 2 1 Examples



Solve For X And Y 6 X 1 3 Y 2 1 5 X 1 Y 2 2 Maths Topperlearning Com Vijk4hmm



Step By Step Solutions



2



What Is The Proof That 1 1 X 1 X X 2 X 3 Quora



Mathematics Ii Tranquileducation



Solve The Following Systems Of Equations 2 X 3 Y 2 4 X 9 Y 1 Sarthaks Econnect Largest Online Education Community



Solved Y 1 X Y 7 X 2 3 Xy 1 2x 2 Y X 3 Chegg Com



Solve Solve Linear And Quadratic Equations With Step By Step Math Problem Solver



7x 2y Xy 5 8x 7y Xy 15



Solve For X And Y 6 X 1 3 Y 2 1 5 X 1 1 Y 2 2 Where X 1 Y 2 Sarthaks Econnect Largest Online Education Community



Example 18 Solve 5 X 1 1 Y 2 2 6 X 1 3 Y 2 1 Examples



Solve The Following System Of Equations 5 X 1 1 Y 2 2 6 X 1 3 Y 2 1



Example 18 Solve 5 X 1 1 Y 2 2 6 X 1 3 Y 2 1 Examples



3 Y 5 Deals 60 Off Empow Her Com



Graph Graph Inequalities With Step By Step Math Problem Solver



5 X 1 1 Y 2 2 6 X 1 3 Y 2 1 Solve The Following Pairs Of Equations By Reducing Them To Pair Youtube



Solve 1 X 2 2 X 1 6 X Youtube



Solved Solve This Question 3 Points 6 1 X 2 2 3 1 4 Chegg Com



5 X 1 1 Y 2 2 6 X 1 3 Y 2 1 Solve The Following Pairs Of Equations By Reducing Them To Pair Of Linea Youtube



If X 1 X 6 What Is The Value Of X 5 1 X 5 Quora



Free Math Answers Answers Within 24 Hours Step By Step Explanations



Chapter 1 1st Order Linear Differential Equations



Linear Equations 4 Video Khan Academy



Solved Differential Equations A Linear System And An Initial Chegg Com



Solve Solve Inequalities With Step By Step Math Problem Solver



What Is The Proof That 1 1 X 1 X X 2 X 3 Quora
コメント
コメントを投稿